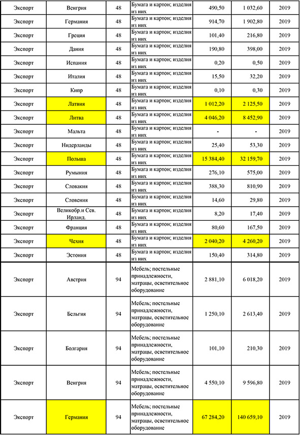
Экспорт РБ (Группы Кодов ТН ВЭД 44, 47, 48, 94)

Чтобы читать и оставлять комментарии, Вам необходимо зарегистрироваться